黄杨镇2023年度部门决算及“三公”经费决算公开信息

黄杨镇2023年度部门决算及“三公”经费决算公开信息

发布时间: 2024-10-18 09:35 字体:[]


绥阳县黄杨镇人民政府

2023年度部门决算

2024年8月


目 录

第一部分部门概况

一、部门职责

二、机构设置

第二部分2023年度部门决算公开报表

第三部分2023年度部门决算情况说明

一、2023年度收入支出决算总体情况说明

二、2023年度收入决算情况说明

三、2023年度支出决算情况说明

四、2023年度财政拨款收入支出决算总体情况说明

五、2023年度一般公共预算财政拨款支出决算情况说明

六、2023年度一般公共预算财政拨款基本支出决算情况说明

七、2023年度财政拨款“三公”经费支出决算情况说明

八、2023年度政府性基金预算财政拨款收入支出决算情况说明

九、2023年度国有资本经营预算财政拨款收入支出决算情况说明

十、2023年度非财政拨款收支决算情况说明

十一、2023年度机关运行经费支出情况说明

十二、2023年度政府采购支出情况说明

十三、2023年度国有资产占用情况说明

十四、预算绩效情况说明

第四部分 名词解释

第五部分 附件


第一部分部门概况

一、部门职责

(一)、党委工作职责:

(1)保证党的路线、方针、政策的坚决贯彻执行。

(2)保证监督职能。

(3)教育和管理职能。

(4)服从和服务于经济建设的职能。

(5)负责抓好本镇党建工作、群团工作、精神文明建设工作、新闻宣传工作及安全生产。

(6)完成县委、县政府交给的其他工作任务。

(二)、政府职能:

(1)制定和组织实施经济、科技和社会发展计划,制定产业结构调整方案,组织指导好各业生产,搞好商品流通,协调好本镇与外镇乡的经济交流与合作,抓好招商引资,不断培育市场体系,组织经济运行,促进经济发展。

(2)制定并组织实施村镇建设规划,部署重点工程建设,村组道路建设及公共设施,水利设施的管理,负责土地、林木、水等自然资源和生态环境的保护,做好护林防火工作。

(3)负责本行政区域内的民政、计划生育、文化教育、卫生、体育等社会公益事业的综合性工作,维护一切经济单位和个人的正当经济权益,取缔非法经济活动,调解和处理民事纠纷,打击刑事犯罪维护社会稳定。

(4)按计划组织本级财政收入和地方税的征收,完成国家财政计划,不断培植税源,管好财政资金,增强财政实力。

(5)抓好精神文明建设,丰富群众文化生活,提倡移风易俗,反对封建迷信,破除陈规陋习,树立社会主义新风尚。

(6)完成上级政府交办的其它事项。

二、机构设置

我单位独立核算机构共12个,行政机关绥阳县黄杨镇人民政府,所属事业单位包括绥阳县黄杨镇财政所、绥阳县黄杨镇退役军人服务站、绥阳县黄杨镇人力资源和社会保障服务中心、绥阳县黄杨镇农业服务中心、绥阳县黄杨镇林业站、绥阳县黄杨镇水务管理工作站、绥阳县黄杨镇村镇建设服务中心、绥阳县黄杨镇消防工作站、绥阳县黄杨镇科技宣教文化信息服务中心、绥阳县黄杨镇乡村振兴工作站、绥阳县黄杨镇综治中心。

按照决算编报要求,纳入本部门(单位)2023年度部门决算编报范围的单位共11个,具体构成见下表。

序号

单位名称

单位类型

1

绥阳县黄杨镇人民政府

行政单位

2

绥阳县黄杨镇财政所

事业单位

3

绥阳县黄杨镇退役军人服务站

事业单位

4

绥阳县黄杨镇人力资源和社会保障服务中心

事业单位

5

绥阳县黄杨镇农业服务中心

事业单位

6

绥阳县黄杨镇林业站

事业单位

7

绥阳县黄杨镇水务管理工作站

事业单位

8

绥阳县黄杨镇村镇建设服务中心

事业单位

9

绥阳县黄杨镇消防工作站

事业单位

10

绥阳县黄杨镇科技宣教文化信息服务中心

事业单位

11

绥阳县黄杨镇乡村振兴工作站

事业单位

第二部分2023年度部门决算公开报表

公开报表详见附件

第三部分2023年度部门决算情况说明

一、2023年度收入支出决算总体情况说明

2023年度收、支决算总计1550.58万元,与2022年度相比,减少24.87万元,下降1.58%,主要原因是:机构人员调出,人员变少,导致支出减少。

二、2023年度收入决算情况说明

本年收入合计1550.58万元,其中:财政拨款收入1550.58万元,占100%;上级补助收入0万元,占0%;事业收入0万元,占0%;经营收入0万元,占0%;附属单位上缴收入0万元,占0%;其他收入0万元,占0%。

三、2023年度支出决算情况说明

本年支出合计1550.58万元,其中:基本支出1394.57万元,占89.94%;项目支出 156.01万元,占10.06%;上缴上级支出 0万元,占0%;经营支出0万元,占0%;对附属单位补助支出 0万元,占0%。

四、2023年度财政拨款收入支出决算总体情况说明

2023年度财政拨款收、支决算总计1550.58万元。与2022年相比,减少24.87万元,下降1.58%,主要原因是:机构人员调出,人员变少,导致支出减少。    

五、2023年度一般公共预算财政拨款支出决算情况说明

(一)一般公共预算财政拨款支出决算总体情况

2023年度一般公共预算财政拨款支出1550.58万元,占本年支出合计的100 %。与2022年相比,一般公共预算财政拨款支出减少24.87万元,下降1.58%,主要原因是:机构人员调出,人员变少,导致支出减少。

(二)一般公共预算财政拨款支出决算结构情况

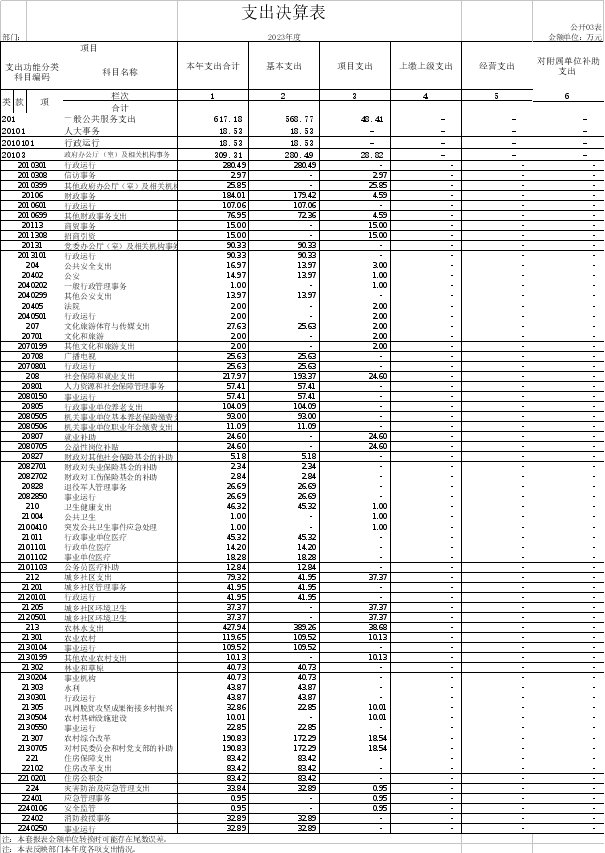
2023年度一般公共预算财政拨款支出主要用于以下方面:一般公共服务支出(类)617.18万元,占39.80%;公共安全支出(类)16.97万元,占1.09%;文化旅游体育与传媒支出(类)27.63万元,占1.78%;社会保障和就业支出(类)217.97万元,占14.06%;卫生健康支出(类)46.32万元,占2.99%;城乡社区支出(类)79.32万元,占5.12%;农林水支出(类)427.93万元,占27.60%;住房保障支出(类)83.42万元,占5.38%;灾害防治及应急管理支出(类)33.84万元,占2.18%

(三)一般公共预算财政拨款支出决算具体情况

2023年度一般公共预算财政拨款支出年初预算为1573.63万元,支出决算为1550.58万元,完成年初预算的98.54%。其中:

1.一般公共服务支出(类)人大事务(款)行政运行(项)。年初预算为19.04万元,支出决算为18.53万元,完成年初预算的97.32%。决算数小于预算数的主要原因是本年度人员调动导致人员经费支出减少。

2.一般公共服务支出(类)政府办公厅(室)及相关机构事务(款)行政运行(项)。年初预算为265.93万元,支出决算为280.49万元,完成年初预算的105.48%。决算数大于预算数的主要原因是本年度人员调动导致人员经费支出增加。

3.一般公共服务支出(类)政府办公厅(室)及相关机构事务(款)信访事务(项)。年初预算为0万元,支出决算为2.97万元,完成年初预算的2.97倍。决算数大于预算数的主要原因是本年度调整预备费用于调节乡镇矛盾纠纷,信访维稳。

4.一般公共服务支出(类)政府办公厅(室)及相关机构事务(款)其他政府办公厅(室)及相关机构事务支出(项)。年初预算为25.85万元,支出决算为25.85万元,完成年初预算的100%。决算数等于预算数。

5.一般公共服务支出(类)财政事务(款)行政运行(项)。年初预算为96.15万元,支出决算为107.06万元,完成年初预算的111.34%。决算数大于预算数的主要原因是人员经费支出增加。

6.一般公共服务支出(类)财政事务(款)其他财政事务支出(项)。年初预算为96.88万元,支出决算为76.95万元,完成年初预算的79.43%。决算数小于预算数的主要原因是本年度目标考核奖减少,人员变动导致支出减少。

7.一般公共服务支出(类)商贸事务(款)招商引资(项)。年初预算为0万元,支出决算为15万元,完成年初预算的15倍。决算数大于预算数的主要原因是新增项目工作经费(产业发展)15万元,用于支付产业发展相关用。

8.一般公共服务支出(类)党委办公厅(室)及相关机构事务(款)行政运行(项)。年初预算为76.64万元,支出决算为90.33万元,完成年初预算的117.86%。决算数大于预算数的主要原因是人员经费支出增加。

9.公共安全支出(类)公安(款)一般行政管理事务(项)。年初预算为1万元,支出决算为1万元,完成年初预算的100%。决算数等于预算数。

10.公共安全支出(类)公安(款)其他公安支出(项)。年初预算为14.6万元,支出决算为13.97万元,完成年初预算的95.68%。决算数小于预算数的主要原因是人员经费支出减少。

11.公共安全支出(类)法院(款)行政运行(项)。年初预算为0万元,支出决算为2万元,完成年初预算的200%。决算数大于预算数的主要原因是本年度增加驻村第一书记工作经费,用于帮扶村居乡村振兴工作。

12.文化旅游体育与传媒支出(类)文化和旅游(款)其他文化和旅游支出(项)。年初预算为2万元,支出决算为2元,完成年初预算的100%。决算数等于预算数。

13.文化旅游体育与传媒支出(类)广播电视(款)行政运行(项)。年初预算为31.9万元,支出决算为25.63万元,完成年初预算的80.34%。决算数大于预算数的主要原因是人员经费支出减少。

14.社会保障和就业支出(类)人力资源和社会保障管理事务(款)事业运行(项)。年初预算为61.59万元,支出决算为57.41万元,完成年初预算的93.21%。决算数小于预算数的主要原因是人员经费支出减少。

15.社会保障和就业支出(类)行政事业单位养老支出(款)机关事业单位基本养老保险缴费支出(项)。年初预算为102.24万元,支出决算为93万元,完成年初预算的90.96%。决算数小于预算数的主要原因是人员减少,导致养老保险支出减少。

16.社会保障和就业支出(类)行政事业单位养老支出(款)    机关事业单位职业年金缴费支出(项)。年初预算为0万元,支出决算为11.09万元,完成年初预算的11.09倍。决算数大于预算数的主要原因是2023年进行科目调剂,支付退休干部职业年金和调出人员职业年金。

17.社会保障和就业支出(类)就业补助(款)公益性岗位补贴(项)。年初预算为20万元,支出决算为24.6万元,完成年初预算的123%。决算数大于预算数的主要原因是本年度动用结余追加公益性人员工资项目。

18.社会保障和就业支出(类)财政对其他社会保险基金的补助(款)财政对失业保险基金的补助(项)。年初预算为2.42万元,支出决算为2.34万元,完成年初预算的96.69%。决算数小于预算数的主要原因是本年度人员调动导致支出减少。

19.社会保障和就业支出(类)财政对其他社会保险基金的补助(款)财政对工伤保险基金的补助(项)。年初预算为2.03万元,支出决算为2.84万元,完成年初预算的139.90%。决算数大于预算数的主要原因是本年度工伤保险调整基数导致支出增加。

20.社会保障和就业支出(类)退役军人管理事务(款)事业运行(项)。年初预算为26.05万元,支出决算为26.69万元,完成年初预算的102.45%。决算数大于预算数的主要原因是人员经费支出增加。

21.卫生健康支出(类)公共卫生(款)突发公共卫生事件应急处理(项)。年初预算为1万元,支出决算为1万元,完成年初预算的100%。决算数等于预算数。

22.卫生健康支出(类)行政事业单位医疗(款)行政单位医疗(项)。年初预算为14.46万元,支出决算为14.20万元,完成年初预算的98.20%。决算数小于预算数的主要原因是人员调动导致支出减少。

23.卫生健康支出(类)行政事业单位医疗(款)事业单位医疗(项)。年初预算为27.65万元,支出决算为18.28万元,完成年初预算的66.11%。决算数小于预算数的主要原因是人员调动导致支出减少。

24.卫生健康支出(类)行政事业单位医疗(款)公务员医疗补助(项)。年初预算为16.3万元,支出决算为12.84万元,完成年初预算的78.77%。决算数小于预算数的主要原因是人员调动导致支出减少。

25.城乡社区支出(类)城乡社区管理事务(款)行政运行(项)。年初预算为1.38万元,支出决算为41.95万元,完成年初预算的3039.85%。决算数大于预算数的主要原因是2023年预算时系统提数错误,提数至其他部门科目,后通过科目调剂调整导致支出增加。

26.城乡社区支出(类)城乡社区环境卫生(款)城乡社区环境卫生(项)。年初预算为20万元,支出决算为37.37万元,完成年初预算的186.85%。决算数大于预算数的主要原因是2023年动用结余和调整预算导致支出增加。

27.农林水支出(类)农业农村(款)事业运行(项)。年初预算为166.92万元,支出决算为109.52万元,完成年初预算的65.61%。决算数小于预算数的主要原因是2023年预算时系统提数错误,后通过科目调剂调整导致支出减少。

28.农林水支出(类)农业农村(款)其他农业农村支出(项)。年初预算为3万元,支出决算为10.13万元,完成年初预算的337.67%。决算数大于预算数的主要原因是2023年进行科目调剂,追加烤烟生产发展经费等。

29.农林水支出(类)林业和草原(款)事业机构(项)。年初预算为47.05万元,支出决算为47.73万元,完成年初预算的101.45%。决算数大于预算数的主要原因是人员调动导致支出增加。

30.农林水支出(类)水利(款)行政运行(项)。年初预算为41.41万元,支出决算为43.87万元,完成年初预算的105.94%。决算数大于预算数的主要原因是人员经费及公用经费支出增加。

31.农林水支出(类)巩固脱贫攻坚成果衔接乡村振兴(款)农村基础设施建设(项)。年初预算为10.01万元,支出决算为10.01万元,完成年初预算的100%。决算数等于预算数。

32.农林水支出(类)巩固脱贫攻坚成果衔接乡村振兴(款)事业运行(项)。年初预算为20.35万元,支出决算为22.85万元,完成年初预算的112.29%。决算数大于预算数的主要原因是人员调动导致支出增加。

33.农林水支出(类)农村综合改革(款)对村民委员会和村党支部的补助(项)。年初预算为228.84万元,支出决算为190.83万元,完成年初预算的83.39%。决算数小于预算数的主要原因是人员调动导致支出减少。

34.住房保障支出(类)住房改革支出(款)住房公积金(项)。年初预算为89.71万元,支出决算为83.42万元,完成年初预算的92.99%。决算数小于预算数的主要原因是人员调动导致支出减少。

35.灾害防治及应急管理支出(类)应急管理事务(款)安全监管(项)。年初预算为1万元,支出决算为0.95万元,完成年初预算的95.00%。决算数小于预算数的主要原因是该项目经费支出报账减少。

36.灾害防治及应急管理支出(类)消防救援事务(款)事业运行(项)。年初预算为35.88万元,支出决算为32.89万元,完成年初预算的91.67%。决算数小于预算数的主要原因是人员调动导致支出减少。

六、2023年度一般公共预算财政拨款基本支出决算情况说明

2023年度一般公共预算财政拨款基本支出1394.57万元,用于保障机构正常运转完成日常工作任务的支出。其中:

人员经费1306.17万元,主要包括基本工资、津贴补贴、奖金、绩效工资、机关事业单位基本养老保险缴费、职业年金缴费、职工基本医疗保险缴费、 公务员医疗补助缴费、其他社会保障缴费、住房公积金、其他工资福利支出、对个人和家庭的补助、退休费、抚恤金、生活补助。

公用经费88.40万元,主要包括办公费、电费、差旅费、会议费、培训费、公务接待费、被装购置费、工会经费、福利费、公务用车运行维护费、其他交通费用、其他商品和服务支出。

七、2023年度财政拨款“三公”经费支出决算情况说明

(一)“三公”经费财政拨款支出决算总体情况说明

2023年度“三公”经费财政拨款支出预算数为10.50万元,支出决算为10.49万元,完成预算的99.90%,决算数小于预算数的主要原因是本年严控三公经费,三公经费支出减少。与2022年相比,减少5.47万元,下降34.27%,主要原因是公务接待费减少,公车运行维护费减少。             

(二)“三公”经费财政拨款支出决算具体情况说明

1.因公出国(境)费预算数为0万元,支出决算为0万元,完成预算数的0%,决算数等于预算数。因公出国(境)费与2022年相比,与上年决算数持平,无增减变动。全年使用财政拨款安排的出国(境)团组0个,累计0人次。

2.公务用车购置及运行维护费预算数为10万元,支出决算为9.99万元,完成预算数的99.90%,决算数小于预算数的主要原因是本年严控三公经费,公车运行维护费减少。公务用车购置及运行维护费与2022年相比,减少0.1万元,下降0.1%,主要原因是本年严控三公经费,公车运行维护费减少。其中:

公务用车购置费0万元,购置公务车0台。

公务用车运行维护费9.99万元,主要用于公务用车维修、加油等。截至2023年12月31日,开支财政拨款的公务用车保有量为1辆。

3.公务接待费预算数为0.5万元,支出决算为0.5万元,完

成预算数的100%,决算数等于预算数。公务接待费与2022年相比,减少5.48万元,下降91.64%,减少主要原因是根据规定,将公务接待支出严格控制在预算范围内。国内公务接待34批次,170人次,支出0.5万元,其中:外事接待费接待0批次,0人次,支出0万元,无国(境)外公务接待支出。

八、2023年度政府性基金预算财政拨款收入支出决算情况说明

(一)2023年度政府性基金预算财政拨款收入决算总额为0万元,与2022年相比,无变动。

(二)2023年度政府性基金预算财政拨款支出决算总额为0万元,与2022年相比,无变动。2023年度我部门(单位)无政府性基金预算财政拨款收入,也无相应支出。

九、2023年度国有资本经营预算财政拨款收入支出决算情况说明

(一)2023年度国有资本经营预算财政拨款收入决算总额为0万元,与2022年相比,无变动。

(二)2023年度国有资本经营预算财政拨款支出为0万元,与2022年相比,无变动。

2023年度我部门(单位)无国有资本经营预算财政拨款收入,也无相应支出。

十、2023年度非财政拨款收支决算情况说明

2023年度非财政拨款收入决算总额0万元,其中:事业收入0万元,经营收入0万元,其他收入0万元。非财政拨款支出决算总额0万元,其中:

2023年度我部门(单位)无非财政拨款收入,也无相应支出。

十一、2023年度机关运行经费支出情况说明

本部门2023年度机关运行经费支出88.4万元,比年初预算增加19.15万元,增长27.65%,主要原因是2023年因2022年招录公务员转正,公务员车补增加,导致公用经费增加。与2022年相比,增加7.3万元,增长9 %,主要原因是2023年因2022年招录公务员转正,公务员车补增加,导致公用经费增加。

十二、2023年度政府采购支出情况说明

本部门2023年度政府采购支出总额0万元,其中:政府采购货物支出0万元、政府采购工程支出0万元、政府采购服务支出0万元。授予中小企业合同金额0万元,占政府采购支出总额的0%,其中:授予小微企业合同金额0万元,占政府采购支出总额的0%。

十三、2023年度国有资产占用情况说明

截至2023年12月31日,本部门共有车辆1辆,其中,副部(省)级及以上领导用车0辆、主要领导干部用车0辆、机要通信用车0辆、应急保障用车1辆、执法执勤用车0辆、特种专业技术用车0辆、离退休干部用车0辆、其他用车0辆;单位价值100万元(含)以上的设备(不含车辆)0(台、套…)。

十四、预算绩效情况说明

(一)预算绩效管理工作开展情况

根据预算绩效管理要求,我部门组织对2023年度财政拨款项目支出开展了绩效自评工作,共计10个项目进行了绩效自评,涉及资金89.31万元,自评覆盖率达到76.92%。

(二)项目支出绩效自评结果

项目支出绩效自评表详见附件。

(三)部分重点项目绩效评价结果

2023年度,我部门未开展重点项目绩效评价工作,故无项目绩效评价结果说明。

第四部分 名词解释

(一)财政拨款收入:指单位从同级财政部门取得的当年拨付的资金。

(二)上级补助收入:指事业单位从主管部门和上级单位取得的非财政拨款收入。

(三)事业收入:指事业单位开展专业业务活动及其辅助活动所取得的收入。

(四)经营收入:指事业单位在专业业务活动及其辅助活动之外开展非独立核算经营活动取得的收入。

(五)附属单位上缴收入:指事业单位取得的附属独立核算单位按照有关规定上缴的收入。

(六)其他收入:指除上述财政拨款收入事业收入经营收入附属单位上缴收入等之外取得的收入。

(七)年初结转和结余:指单位以前年度尚未完成、结转到本年仍按原规定用途继续使用的资金,或项目已完成等产生的结余资金。

(八)使用非财政拨款结余:指事业单位按照预算管理要求使用非财政拨款结余和专用结余弥补收支差额的金额。

(九)结余分配:指单位缴纳企业所得税以及从非财政拨款结余或经营结余中提取各类结余的情况。

(十)年末结转和结余:指单位本年度或以前年度预算安排、因客观条件发生变化未全部执行或未执行,结转到以后年度继续使用的资金,或项目已完成等产生的结余资金。

(十一)基本支出:指为保障机构正常运转、完成日常工作任务而发生的人员支出和公用支出。

(十二)项目支出:指在基本支出之外为完成特定行政任务和事业发展目标所发生的支出。

(十三)经营支出:指事业单位在专业业务活动及其辅助活动之外开展非独立核算经营活动发生的支出。

(十四)对附属单位补助支出:指事业单位用财政拨款预算收入之外的收入对附属单位的补助支出。

(十五)三公经费:纳入同级财政预决算管理的三公经费是指用财政拨款安排的因公出国(境)费、公务用车购置及运行费和公务接待费。其中,因公出国(境)费反映单位公务出国(境)的国际旅费、国外城市间交通费、住宿费、伙食费、培训费、公杂费等支出;公务用车购置及运行费反映单位公务用车车辆购置支出(含车辆购置税、牌照费)及公务用车燃料费、维修费、过路过桥费、保险费、安全奖励费等支出;公务接待费反映单位按规定开支的各类公务接待(含外宾接待)费用。

(十六)机关运行经费:为保障行政单位(含参照公务员法管理的事业单位)运行用于购买货物和服务的各项资金,包括办公及印刷费、邮电费、差旅费、会议费、福利费、日常维修费、专用材料及一般设备购置费、办公用房水电费、办公用房取暖费、办公用房物业管理费、公务用车运行维护费以及其他费用。

(十七)一般公共服务支出(类)人大事务(款)行政运行(项):指反映行政单位(包括实行公务员管理的事业单位)的基本支出。

(十八)一般公共服务支出(类)政府办公厅(室)及相关机构事务(款)行政运行(项):指反映行政单位(包括实行公务员管理的事业单位)的基本支出。

(十九)一般公共服务支出(类)政府办公厅(室)及相关机构事务(款)信访事务(项):指反映各级政府用于接待群众来信来访方面的支出。

(二十)一般公共服务支出(类)政府办公厅(室)及相关机构事务(款)其他政府办公厅(室)及相关机构事务支出(项):指反映除上述项目以外的其他政府办公厅(室)及相关机构事务支出。

(二十一)一般公共服务支出(类)财政事务(款)行政运行(项):指反映行政单位(包括实行公务员管理的事业单位)的基本支出。

(二十二)一般公共服务支出(类)财政事务(款)其他财政事务支出(项):指反映除上述项目以外其他财政事务方面的支出。

(二十三)一般公共服务支出(类)商贸事务(款)招商引资(项):指反映用于招商引资、优化经济环境等方面支出。

(二十四)一般公共服务支出(类)党委办公厅(室)及相关机构事务(款)行政运行(项):指反映行政单位(包括实行公务员管理的事业单位)的基本支出。

(二十五)公共安全支出(类)公安(款)一般行政管理事务(项):指反映行政单位(包括实行公务员管理的事业单位)未单独设置项级科目的其他项目支出。

(二十六)公共安全支出(类)公安(款)其他公安支出(项):指反映除上述项目以外其他用于公安方面的支出。

(二十七)公共安全支出(类)法院(款)行政运行(项):指反映行政单位(包括实行公务员管理的事业单位)的基本支出。

(二十八)文化旅游体育与传媒支出(类)文化和旅游(款)其他文化和旅游支出(项):反映除上述项目以外其他用于文化和旅游方面的支出。

(二十九)文化旅游体育与传媒支出(类)广播电视(款)行政运行(项):指反映行政单位(包括实行公务员管理的事业单位)的基本支出。

(三十)社会保障和就业支出(类)人力资源和社会保障管理事务(款)事业运行(项):反映事业单位的基本支出,不包括行政单位(包括实行公务员管理的事业单位)后勤服务中心、医务室等附属事业单位。

(三十一)社会保障和就业支出(类)行政事业单位养老支出(款)机关事业单位基本养老保险缴费支出(项):指反映机关事业单位实施养老保险制度由单位缴纳的基本养老保险费支出。

(三十二)社会保障和就业支出(类)行政事业单位养老支出(款)机关事业单位职业年金缴费支出(项):指反映机关事业单位实施养老保险制度由单位实际缴纳的职业年金支出。

(三十三)社会保障和就业支出(类)就业补助(款)公益性岗位补贴(项):反映财政对符合条件的就业困难人员在公益性岗位就业给予的岗位补贴支出。

(三十四)社会保障和就业支出(类)财政对其他社会保险基金的补助(款)财政对失业保险基金的补助(项):指反映财政对失业保险基金的补助支出

(三十五)社会保障和就业支出(类)财政对其他社会保险基金的补助(款)财政对工伤保险基金的补助(项):指反映其他财政对社会保险基金的补助支出

(三十六)社会保障和就业支出(类)退役军人管理事务(款)事业运行(项):指反映事业单位的基本支出,不包括行政单位(包括实行公务员管理的事业单位)后勤服务中心、医务室等附属事业单位。

(三十七)卫生健康支出(类)公共卫生(款)突发公共卫生事件应急处理(项):指用于突发公共卫生事件应急处置方面的支出。

(三十八)卫生健康支出(类)行政事业单位医疗(款)行政单位医疗(项):指反映财政部门安排的行政单位(包括实行公务员管理的事业单位,下同)基本医疗保险缴费经费,未参加医疗保险的行政单位的公费医疗经费,按国家规定享受离休人员、红军老战士待遇人员的医疗经费。

(三十九)卫生健康支出(类)行政事业单位医疗(款)事业单位医疗(项):指反映财政部门安排的事业单位基本医疗保险缴费经费,未参加医疗保险的事业单位的公费医疗经费,按国家规定享受离休人员待遇的医疗经费。

(四十)卫生健康支出(类)行政事业单位医疗(款)公务员医疗补助(项)。反映财政部门安排的公务员医疗补助经费。

(四十一)城乡社区支出(类)城乡社区管理事务(款)行政运行(项):指反映行政单位(包括实行公务员管理的事业单位)的基本支出。

(四十二)城乡社区支出(类)城乡社区环境卫生(款)城乡社区环境卫生(项):反映城乡社区道路清扫、垃圾清运与处理、公测建设与维护、园林绿化等方面的支出。

(四十三)农林水支出(类)农业农村(款)事业运行(项):反映用于农业事业单位基本支出,事业单位设施、系统运行与资产维护等方面的支出。

(四十四)农林水支出(类)农业农村(款)其他农业农村支出(项):反映除上述项目以外其他用于农业农村方面的支出。

(四十五)农林水支出(类)林业和草原(款)事业机构(项):反映事业单位的基本支出,不包括行政单位(含实行公务员管理的事业单位)后勤服务中心等附属事业单位的支出。

(四十六)农林水支出(类)水利(款)行政运行(项):指反映行政单位(包括实行公务员管理的事业单位)的基本支出。

(四十七)农林水支出(类)巩固脱贫衔接乡村振兴(款)农村基础设施建设(项):反映用于农村欠发达地区乡村道路、住房、基本农田、水利设施、人畜饮水、生态环境保护等生产生活条件改善方面支出。

(四十八)农林水支出(类)巩固脱贫衔接乡村振兴(款)事业运行(项):反映事业单位的基本支出,不包括行政单位(包括实行公务员管理的事业单位)后勤服务中心、医务室等附属事业单位。

(四十九)农林水支出(类)农村综合改革(款)对村民委员会和村党支部的补助(项):反映各级财政对村民委员会和村党支部的补助支出,以及支持建立县级基本财力保障机制安排的村级组织运转奖补资金。

(五十)住房保障支出(类)住房改革支出(款)住房公积金(项):反映行政事业单位按人力资源和社会保障部、财政部规定的基本工资和津贴补贴以及规定比例为职工缴纳的住房公积金。

(五十一)灾害防治及应急管理支出(类)应急管理事务(款)安全监管(项):反映安全生产综合监督管理和工贸行业安全生产监督管理等方面的支出。

(五十二)灾害防治及应急管理支出(类)应急管理事务(款)事业运行(项):反映事业单位的基本支出,不包括行政单位(包括实行公务员管理的事业单位)后勤服务中心、医务室等附属事业单位。

第五部分 附件

附件1:遵义市绥阳县黄杨镇部门2023年度部门决算公开报表

附件2:遵义市***部门项目支出绩效自评表

附件2:黄杨镇2023年度部门决算公开报表表样.xls

附件3:黄杨镇2023年度绩效自评表表样.xlsx